随着LED的大规模应用和新标准GB-50034的出台,色容差SDCM的概念越来越深入到工程招标文件,灯具厂家说明书和LED产品制造商的说明书中,用于说明灯具之间,批次之间的产品光色一致性,不但要选择LED的BIN,还要对BIN做更深入的SDCM要求,一般SDCM<5可不被人眼识别出产品之间的差别。
针对led 洗墙灯, led线条灯, 水舞灯,水纹灯, led 投光灯, 蓝天白云效果灯, 防水图案灯, 水涟漪效果灯,树影灯,
SDCM快速进入了照明设计时的法眼,越来越多地会有人问“你们家灯具和灯珠的SDCM是多少?”
SDCM的实际图解近似于“一个实际色品坐标离另外典型色品坐标的相对位移”。
这一指标的盛行引出了另外一个尚未列入任何标准的另外一个需求:“如何量化地评估一个彩色灯具混色出来的光斑的均匀度”。
制造灯具的厂商一般不会透露的一个事实是,RGB或者RGBW,RGBAW灯具中RA芯片的大小,发光规律和GB的发光规律,与W的发光规律是不同的,由于光是直线传播的,在相同的透镜中,RGBAW的光的轨迹是不完全重叠的。以红色芯片小,蓝绿色芯片大为例子,RGB灯具照射出来的光斑(不讨论透镜本身的设计)一般中间部分较为均匀,外圈偏青。
一般地影响混色的主要因素有:1.芯片的尺寸2.单只LED封装中芯片的数量3.LED的实际封装样式 4.包含多只LED的灯具的实际发光面尺寸和照射距离的相对关系 5. 选用透镜角度6.选用透镜和LED的匹配 7.存在多个独立回路时的多个回路的均匀的配电
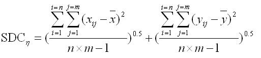
回到SDCM指标由来和使用方式上去我们不难得到,这是两个相近的数学命题,其基础都是数理统计理论中的一个关键词-标准方差,用于表示数据集的离散程度:一般计算步骤为:
1。求每一个数与这个样本数列的数学平均值之间的差,称均差;
2。计算每一个差的平方,称方差;
3。求它们的总和,再除以这个样本数列的(项数-1)得到均方差
4。再开根号得到标准方差!
由标准方差的定义,我们可以延伸一下,并规定一个定义:色品标准方差,指的是一个灯具,其有效照射距离的全开混色光斑内有规律取点采集的色品坐标样本的标准方差。
将一只混色的灯具全开,投射在一个普通应用距离远的平面上,对平面上100%光强到5%光强的区域进行均匀网格划分,在网格对应的点上,使用色品计对色品坐标进行采集,共有n*m组数据,每一组数据为(Xij , yij),再输入到一个计算表格中,计算平均的色品坐标
然后使用标准方差公式,在表格中进行计算即可得到色品标准方差。
此处η可以为RGB,或者RGBW,或者RGBAW等,甚至可以为多色温白光混色组合ACSW。
我们以一个3颗3W RGB的最小的染色投光灯为例子,假定其配光为16度光束角(50%光强),33度光斑角(10%)光强,投射到3M远混色光斑为例子,此处圆形光斑一般n=m,所以使用一个11*11矩阵网格为采集规律采集各个点的CIE 1931色品坐标,
再将对应数值计算出平均的x坐标和y坐标,
可得该RGB混色灯具的色品标准方差。www.ledmewish.com
参考SDCM<5的选择标准,如果计算得出的SDC数值大于0.005,则认为混色不是很好,数值越大混色均匀度越差,如果SDC数值小于0.005则认为该灯具适合使用于舞台染色照明,也适用于其他建筑和景观用途。



铝桁架官网
舞台灯官网 
AMY