• 锥型配光灯具使用照度计算流明输出方法探讨- led 投光灯-蓝天白云效果灯-防水图案灯

    行业新闻 2016-03-25

    固定距离的照度比较已经比较广泛地成为比较两只灯具亮度的简单有效方法之一,然后,对于角度有稍微差别的灯具,比较轴向照度并不能说明流明输出的差别。比如15度的灯具,轴向100Lx,20度的灯具轴向90Lx,哪一个灯的流明输出高呢?对于一般的业主和设计师来说,送检着实不容易,测试一只灯具IES成本也不低,时间也长。

    其实采集再多一点点的照度数据,我们即可像积分球一样得出灯具的流明数,尤其以锥形配光,并且配光曲线圆滑过渡的灯具最为简易,本文着重介绍这一简单配光的流明数计算,


    该类型锥形配光符合以下条件:光源为近似点光源,一次配光为120度(50%光束角)lambertain配光,芯片为矩形,近似为点,二次配光透镜表面为磨砂,或者蜂窝面最佳,光面也可以近似处理,照度符合距离的负二次方衰减。
    一般锥形配光存在光束角度和光斑角度两个角度参数,光束角为50%光强所在线所围成的空间的轴向截面夹角,光斑角为10%光强所在线所围成的空间的轴向截面夹角,一般后者为前者的约2倍。
    本文提出的方法统计的是光斑角度对应范围的所有的流明数,即10%光强内的所有流明数。
    本方法基于的原理是:流明是照度与面积的乘。在足够小的面积上的流明总数是该面积照度与面积的乘积,所以,光斑的流明是光斑在各个方向上照度在面积上的积分,考虑到是圆形的光斑,圆环方向照度近似相等,可计算为微圆环上的照度在半径长度方向上的积分,为更明确图示如下,建立坐标系XOZ(此处使用Z仅是与后续引用的函数错开,并不涉及三维坐标),O为光斑中心,
            一般认定为光斑最强照度点与圆心O点重合
            在同样半径的圆环上测试得到的照度y是基本一致的
            在任意位置的照度yx的函数,测试后进行高斯拟合得出
    照度采集方式:
            取适合距离的轴向将灯具照射上去,形成垂直于轴向的光斑
            尽量调整让光斑在离中心相同距离处,照度相同或接近
            对光斑取网格,至少为11*11=121点阵列网格,越细越好
            采集的点组成的网格必须覆盖所有10%光强以内的区域,可以少部分点分布于10%光强之外,也可用于计算和拟合,对结果的影响较小。
    其积分推理过程:
    选定一个半径为x处的圆环,厚度非常薄,为一个微元增量dx,则该圆环面积为2*3.1416x*dx,该圆环处照度为y,则该圆环上的流明为(2*3.1416x *dx*y),在光斑有效半径距离内对该数值进行定积分,积分下限为0,积分上限为10%光斑处对应的半径长度r, 
    数据处理
    将采集到的数值,中心对称的四个点取平均值,作为该处坐标的照度(该环节可以进一步降低系统误差),再将数据使用Origin软件以“距离中心点距离对照度关系”作图,并进行高斯拟合,以及得到标准拟合公式:



    其中有常数:y0xcwA,另外,未知数x为离O点的距离,yx距离处的照度,对2*3.1416x*y*dx进行积分即得到需求的流明数值。


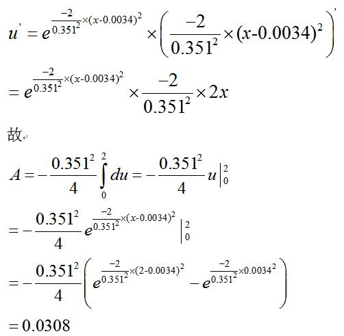
    其中r为光斑半径,为定积分的积分上限,此处需要用到复合求导公式:(eu(x)) '=eu(x) u(x)',可计算出准确的数值。
    例如:假设一个灯具投射到墙面是2半径的光斑,经过数据采集和拟合以后,得到



    所以,原积分=462.62+4851.7×0.0308=612

    灯具的流明数=2*3.1416*612=3845lm.

    计算完毕。    

    本方法提出的使用照度计算流明的方式适合在没有大型仪器,积分球和暗室的情况下用于计算灯具的流明数,尤其是比较一个小角度大轴向光强和一个大角度小轴向光强的灯具的流明输出时非常好用,适合用于鉴别和采购产品,也可用于现场试灯时对灯具进行评价。针对led 洗墙灯, led线条灯, 水舞灯,水纹灯, led 投光灯, 蓝天白云效果灯, 防水图案灯, 水涟漪效果灯,树影灯,

     

    注:

    韩柏光,广州朗文光电技术总监,全球设计支持中心首席设计师

    全国高级照明设计师同学会会员,

    华人照明设计师协会CLDA专业会员

    IALD北美照明设计师协会Affiliate会员


    广州朗文光电以非线性光学成像技术为技术载体,将水射光水舞灯,水岸韵律水舞灯,海洋之心水舞灯,晚霞映江水舞灯,圣火旺运火舞灯,朗月漾影树影灯,春夏秋冬草舞灯,春华秋实花舞灯,云卷云舒云舞灯,和风细雨雨舞灯,气贯长虹成像灯,金光显现成像灯等并融入动态光影的灯具,为设计师提供新的设计元素。

    广州朗文光电还将陆续把更多的中国传统文化元素细化成具体的意象,以戏剧化的效果为更多的建筑和景观照明提供新鲜元素。 详情请登录缔朗照明网站:www.ledmewish.com.cn



文章分享

在线客服
AMY
李先生
张小姐